Share This Page

Bigger is Better: Brain Size Up 7%, Dementia Down 25%

In a span of 40 years, why did average brain size increase and dementia rates drop? A new UC-Davis study explores environmental factors behind this silent revolution.
Big Brain

In a stretch of 4 decades, two remarkable trends emerged: the incidence of dementia declined in both the U.S. and Europe, while average physical brain size increased. Why?

Bigger Brains, Sharper Minds

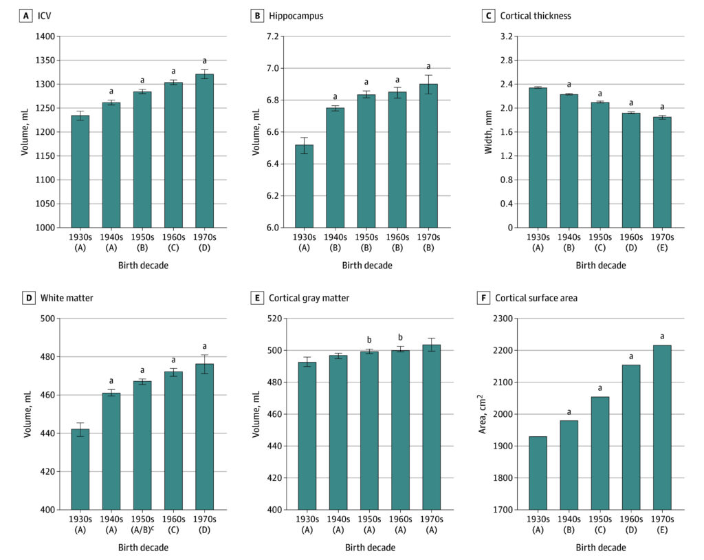
Researchers, led by Charles DeCarli at University of California Davis Health, and Sudha Seshadri of the University of Texas Health Science Center, San Antonio, have uncovered a fascinating link between brain size and the cognitive health that protects us from dementia. Their study, published in the March 25 issue of JAMA Neurology, reveals that individuals born in the 1970s boast 15 percent more surface area in their cortices compared to those born in the 1930s.

Picture it: a brain with extra real estate. But what does this mean for our mental resilience?

The Cognitive Reserve Advantage

The expanded cortical surface area may hold the key to maintaining cognitive function as we age. Think of it as a cognitive reserve—a buffer against the decline often associated with dementia. While the exact mechanisms remain under investigation, the findings suggest that early-life experiences shape brain development.

What would cause brain size to increase? DeCarli attributes it to environmental factors. Specifically

  • Childhood nutrition,
  • Prenatal care, and
  • Quality education.

The Brain’s 14.9% Growth Spurt


  • Least-Squares Mean Association (Adjusting for Age and Sex) Between Decade of Birth and Magnetic Resonance Imaging Measures
  • The parenthetical letters A, B, C, D, and E under each decade indicate significant group differences using a Tukey honestly significant differences post hoc comparison. ICV indicates intracranial volume.
  • aP < .001 compared with 1930s.
  • bP < .05 compared with 1930s.
  • Courtesy of DeCarli et al., JAMA Neurology, 2024.

To delve deeper, DeCarli and his team analyzed structural MRI scans from a subset of 3,226 participants in the Framingham Heart Study. Born between 1925 and 1968, these individuals allowed researchers to measure critical brain parameters.

The results were striking. Recent generations exhibited larger brains, including specifically:

  1. More cortical gray matter,
  2. Expanded hippocampi,
  3. Increased intracranial volume, and
  4. Greater cerebral white matter.

Notably, their cortical surface area was a whopping 14.9 percent larger.

The Brain’s 40-Year Silent Revolution

Dementia rates have been on a downward spiral for the past 40 years. The brain’s transformation—more gray matter, larger hippocampi, and increased surface area—may hold the key. It’s like upgrading from a studio apartment to a penthouse suite. But wait, there’s a twist.

The Curious Case of Cortical Thickness – or Thinness?

Cortical thickness didn’t follow the same pattern — it was 21 percent thinner. So if it’s thinner, what accounts for the increased size?

Deeper gyri and sulci (those ridges and valleys on the brain’s surface) likely account for the increased surface area and white matter. These structural changes may facilitate more extensive neuron connections, potentially enhancing cognitive resilience.

More Discoveries Ahead

While the theory is compelling, rigorous testing lies ahead. Researchers must unravel the intricate dance between cortical thickness, gray matter, and cognitive health. As DeCarli puts it, “When the gyri deepen, neurons forge new pathways.” The empirical evidence awaits.

The Brain’s Environmental Symphony

What orchestrates this brain symphony? DeCarli points to environmental influences. Our changing world— nutrition, education, lifestyle — may sculpt our brains, offering hope in the fight against dementia.

As we unlock the brain’s secrets, we are inching closer to a future where dementia becomes a rarity.

Related:

Email me when people comment
Notify of
guest

1 Comment
Inline Feedbacks
View all comments
Biancavarelasmiller
Biancavarelasmiller
June 2, 2024 5:52 pm
Rating :
     

I’ve always been behind in my intellectual thinking. Made horrible decisions in life and it’s left me an angry person who blames the world. I have MS and both husbands cheated on me.

Edited by:
Picture of Peter Berger

Peter Berger

With experience in dementia caregiving, public education, and Alzheimer’s-focused writing—and a professional research background shaped in what many consider one of the world’s top laboratories—I work to make complex findings clear, practical, and genuinely helpful for families and professionals providing care.

This site was inspired by my Mom’s autoimmune dementia.

It is a place where we separate out the wheat from the chafe, the important articles & videos from each week’s river of news. Google gets a new post on Alzheimer’s or dementia every 7 minutes. That can overwhelm anyone looking for help. This site filters out, focuses on and offers only the best information. it has helped hundreds of thousands of people since it debuted in 2007. Thanks to our many subscribers for your supportive feedback.

The site is dedicated to all those preserving the dignity of the community of people living with dementia.

Peter Berger, Editor

Share this page To

Dementia Books & Videos on Amazon:

More From Alzheimer's Weekly

Stethoscope checking a woman's heartbeat
Prevention

Saving Women from Strokes

VIDEOS + ARTICLE: Women are dangerously under-educated on female stroke risk. “Women do not think they are going to have a stroke. They think of it as a man’s disease,” said Dr. Greene-Chandos. Yet millions of women have strokes, often leading to vascular dementia. Learn what to look for and how to take action.

Read More »
Carl and Ellie in their senior years
Music

Remember When

MUSIC VIDEO: Dedicated to every sweetheart with dementia, to let them know how much they are loved.

Read More »
Number 10 Text
Diagnosis

10 Types of Dementia

DEMENTIA is a group of symptoms common to over 50 disorders. Alzheimer’s disease is the most common type of dementia. Learn about the 10 most common types of dementia.

Read More »
Share to Facebook
Twitter
LinkedIn

This site was inspired by my Mom’s autoimmune dementia.

It is a place where we separate out the wheat from the chafe, the important articles & videos from each week’s river of news. Google gets a new post on Alzheimer’s or dementia every 7 minutes. That can overwhelm anyone looking for help. This site filters out, focuses on and offers only the best information. it has helped hundreds of thousands of people since it debuted in 2007. Thanks to our many subscribers for your supportive feedback.

The site is dedicated to all those preserving the dignity of the community of people living with dementia.

Peter Berger, Editor

Visit Alzheimer's Weekly On

Free:
Alzheimer's & Dementia
Weekly Newsletter

INCLUDES BONUS BOOKLET:
15 Simple Things You Can Do to Care For a Loved One with Dementia or Memory Loss
News, Treatments, Care Tips, Diet, Research, Diagnosis, Therapies & Prevention
News to Get at the Truth

Subscribe To Our Weekly Newsletter

1
0
Would love your thoughts, please comment.x
()
x